2022年6月10日,歐洲化學品管理局 (ECHA)在其官網正式發布新增1種高度關注物質(SVHC) ,因此,候選清單中SVHC的總數增至224種。

此前,歐盟委員會(EU)于2021年6月1日向世貿組織(WTO)提交了G/TBT/N/EU/803號通報,提議將間苯二酚(CAS:108-46-3)列入SVHC清單,但繼今年1月其未被列入第26批SVHC候選物質清單后,此次仍未被列入。據Chemical watch官網消息,今年1月歐盟委員會關于間苯二酚決定列入SVHC清單的投票不符合法定程序,但有消息人士稱,歐盟委員會應不會更改草案決定,而是重新進行投票,因此,還需等待歐盟委員會做出最終決定。
生效日期:公布即時生效。
加入候選清單后的影響:
根據REACH規定,當公司的物質(單獨、混合物或物品)被列入候選清單時,公司有以下法律義務。
含有濃度超過 0.1%(重量比)的候選清單物質的物品供應商必須向其客戶和消費者提供足夠的信息,以便能夠安全使用它們。消費者有權詢問供應商他們購買的產品是否含有高度關注的物質。
物品的進口商和生產商必須在其被列入清單之日(即2022年6月10日)起六個月內通知ECHA,如果其物品含有N-(羥甲基)丙烯酰胺,必須向其客戶提供安全數據表。
根據廢物框架指令,如果公司生產的物品含有濃度高于0.1%(重量比)的高度關注物質,公司還必須通知ECHA。該通知發布在ECHA的產品中關注物質數據庫(SCIP)中。
新增物質分析
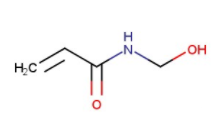
【名稱】
N-(羥甲基)丙烯酰胺
N-(hydroxymethyl)acrylamide
【納入原因】
·致癌
·致突變性
【物質識別號】
EC / 清單編號:213-103-2
CAS 號:924-42-5
摩爾分子式:C4H7NO2

【物質介紹】
N-羥甲基丙烯酰胺為白色結晶性粉末。相對密度1.185(23/ 4℃),熔點75℃。在一般親水性溶劑中也能溶解,對于脂肪酸酯類、丙烯酸及甲基丙烯酸酯類,加溫也有相當溶解性,但幾乎不溶于烴、鹵代烴等疏水性溶劑。可作交聯劑,廣泛用于纖維的改性樹脂、加工染料、塑料粘合劑、土壤穩定劑等;該品分子中具有與羰基共軛的雙鍵和富有反應性的羥甲基,是用途廣泛的交聯性單體,用于纖維的改性、樹脂加工、粘合劑及紙張、皮革、金屬表面的處理劑,還可用于土壤改良劑等。
2017年10月27日,世界衛生組織國際癌癥研究機構公布的致癌物清單初步整理參考,N-羥甲基丙烯酰胺在3類致癌物清單中。
【常應用于】
它主要用于作為聚合單體、丙烯酸氟烷基酯共聚物以及油漆、涂料和制造其他化學品、紡織品、皮革或毛皮時。
【毒性】
除歐盟化學品管理局公示的對人體有致癌和致突變性外。
本品對皮膚有刺激作用,其蒸氣或霧對眼睛、黏膜和上呼吸道有刺激作用??扇?,有毒,具刺激作用,操作人員根據需要佩戴防護用具。
起火時,可用霧狀水和干粉、泡沫、二氧化碳滅火器。
REACH法規規定:
當產品中含有的SVHC在候選名單中且含量超過0.1% (w/w),但是每年的出口量小于1噸時,出口商就有向ECHA溝通的義務并在供應鏈內進行信息傳遞。
當產品中含有的SVHC在候選名單中且含量超過0.1% (w/w),同時每年的出口量超過1噸時,出口商就有向ECHA通報的義務。
隨著SVHC候選清單的不斷更新,供應商面臨的管控要求將越來越多。供應商提高自己產品的風險意識,及早對供應鏈展開調查,以從容應對法規變化。在物質列入SVHC候選清單后六個月內,符合條件的企業需要完成物品中的SVHC通報。

